快活林凤楼品茶论坛,五一楼凤qm论坛,qm吾爱论坛,楼凤阁兼职论坛官网

设为首页  | English
当前位置: 首页 > 科学研究 > 科研成果 > 正文
科学研究
+
科研成果

公共卫生学院科研团队在我国上消化道癌筛查策略卫生经济学评价研究方面取得重要成果

发布时间:2021-09-10 13:17:09  浏览次数: 次  来源:

上消化道癌(食管癌和胃癌)严重危害我国居民健康,我国两癌年发病和死亡数均占全球的一半。早期筛查是上消化道癌最有效的防控手段,内镜筛查是其目前最准确的方法。但是,食管癌和胃癌内镜联合筛查、食管癌分级内镜筛查卫生经济学效果如何,亟待做出评价。为此,西安交通大学公共卫生学院科研团队联合国家癌症中心科研团队,基于我国上消化道癌筛查前瞻性队列研究项目,开展了相关卫生经济学评价研究。最近,研究成果以“Estimated cost-effectiveness of endoscopic screening for upper gastrointestinal tract cancer in high-risk areas in China”和“Cost-effectiveness of risk-stratified endoscopic screening for esophageal cancer in high-risk areas of China: a modeling study”为题分别发表在JAMA Network Open(IF=8.483)和Gastrointestinal Endoscopy(IF=9.427)国际知名期刊。公共卫生学院博士后夏茹意是两篇论文的第一作者,其合作导师公共卫生学院庄贵华教授和国家癌症中心陈万青教授是两篇论文的通讯作者。

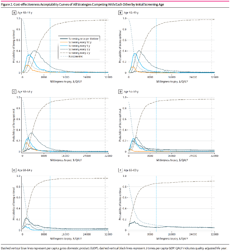
第一篇论文证实:在中国上消化道癌高发区,针对40?69岁人群,内镜同时筛查食管癌和胃癌策略具有高的成本效果,不论哪个初始筛查年龄2年一次内镜筛查均是最佳策略。40?44岁开始2年一次内镜筛查获得健康收益最大,终生一次内镜筛查在65?69岁初始筛查年龄获得健康收益最大。

第二篇论文证实:在中国食管癌高发区,针对40?69岁人群,使用前期发表的风险评分模型初筛确定高危人群、再对高危人群进行内镜筛查的分级筛查策略具有成本效果。并且,在<55岁人群中,以89分作为划分高危人群的界值,并开展分级内镜筛查为最具成本效果的策略;在≥55岁人群中,以直接内镜筛查为最具成本效果的策略。

以上研究成果为国家制定上消化道癌筛查和早诊早治策略提供了重要科学依据。


论文链接:https://pubmed.ncbi.nlm.nih.gov/34402889/https://www.sciencedirect.com/science/article/pii/S0016510721015637?via%3Dihub


夏茹意师从庄贵华教授,2020年获得西安交通大学博士学位并作为青年优秀人才留校继续从事博士后研究工作。庄贵华教授团队长期关注基于模型的卫生经济学评价研究和疾病防控策略效果预测研究。在传染病防控研究领域已在Lancet Global HealthHepatology等国际知名期刊发表多篇论文。近年来,团队与国家癌症中心合作,在国家有关项目资助下,开展恶性肿瘤干预措施的卫生经济学评价和效果预测研究。




上一篇:西北地区12万自然人群队列建成:为研究多种重大慢性病发生发展以及防治提供重要平台

下一篇:公共卫生学院吴少伟课题组在空气污染对人群健康影响研究方面取得系列进展

    版权所有:西安交通大学医学部公共卫生学院 地址:陕西省西安市雁塔西路76号
邮编:710061 联系电话:029-82655101 029-82655135 Email:sph_xjtu@163.com
主站蜘蛛池模板: 宁都县| 老河口市| 云浮市| 吉安市| 柳林县| 临西县| 兰溪市| 城市| 泉州市| 施秉县| 七台河市| 衢州市| 江都市| 永福县| 射洪县| 河池市| 扶余县| 乌审旗| 诸城市| 高州市| 香河县| 辉南县| 鄂托克旗| 沁源县| 来安县| 开江县| 海口市| 宜都市| 织金县| 科技| 长治市| 德化县| 合水县| 阜平县| 利辛县| 广德县| 梁山县| 宁晋县| 百色市| 泽普县| 五大连池市|