快活林凤楼品茶论坛,五一楼凤qm论坛,qm吾爱论坛,楼凤阁兼职论坛官网

设为首页  | English
当前位置: 首页 > 科学研究 > 科研成果 > 正文
科学研究
+
科研成果

吴少伟教授团队与合作团队在空气PM2.5影响机体健康的效应标志物研究方面取得新进展

发布时间:2022-10-12 18:46:09  浏览次数: 次  来源:

短期PM2.5暴露加速基于DNA甲基化的表观遗传年龄

2022年9月27日,环境科学领域权威期刊《Environmental Science & Technology》(IF:11.4)在线发表了公共卫生学院吴少伟教授团队与合作团队研究成果,论文题为 “Short-term Exposure of PM2.5 and Epigenetic Aging: A Quasi-Experimental Study ”(PM2.5的短期暴露与表观遗传衰老:一项准实验研究,https://pubs.acs.org/doi/full/10.1021/acs.est.2c05534)。研究在北京市2017-2018年几次大气PM2.5污染事件(PPW)发生前,发生时和发生后对26名健康成年人进行了重复健康体检,获得生物样本并在实验室内检测一系列生物标志物,基于DNA甲基化谱中多个位点的甲基化水平计算获得7种表观遗传年龄(epigenetic age)用以反映衰老水平,并通过测定多种凝血标志物、氧化应激标志物和炎症因子,探讨PM2.5的致衰老效应是否通过相关机制介导。研究发现短期PM2.5暴露可通过以上生物学机制介导人体表观遗传年龄增加。

表观遗传年龄是一种以DNA甲基化为基础的生物衰老标志物,已被发现可用于预测衰老相关的疾病风险。虽然,近年来我国年平均空气污染水平已经大幅下降,但短期的空气污染事件仍时有发生,并可能加速人口老龄化。到目前为止,人们对PM2.5短期(<1周)暴露与表观遗传年龄之间的关系仍然知之甚少,因此,该研究旨在探索PM2.5污染事件自然发生时,短期PM2.5暴露是否会改变基于DNA甲基化的表观遗传年龄此外,由于凝血、氧化应激和系统性炎症可能是PM2.5加速人体衰老的潜在机制,研究也探讨了部分相关标志物的变化是否可以中介PM2.5对表观遗传年龄的影响。

研究在北京大学学生中招募了32名健康志愿者(其中26人完成全部研究内容并纳入分析),从“空气质量指数”网站(http://aqicn.org/city/beijing/)上获取大气PM2.5污染事件发生前后几天的空气质量预报信息,在污染事件发生前,发生时和发生后3个时间点对志愿者进行重复健康体检,采集研究对象血液样品进行850K甲基化组学检测。并对志愿者活动的室内和室外场所进行PM2.5的检测,计算每次健康检查前0-24小时和24-48小时暴露窗口的时间加权个人PM2.5暴露水平。

1. 研究设计流程图

研究首先评估了PM2.5污染事件发生前,发生时和发生后这3个阶段7种表观遗传年龄[AA(Horvath)、AA(Hannum)、AA(PhenoAge)、AA(GrimAge)、DunedinPoAm、MS和epiTOC]指标的变化情况。对7种表观遗传年龄进行标准化(z-评分),以统一不同算法的数据尺度。接着通过混合线性回归模型分析了表观遗传年龄的变化(ΔEAs)和时间加权的个体PM2.5暴露浓度之间的关联。之后进行中介分析(mediation analysis),探讨PM2.5与表观遗传年龄的关联是否由液血标志物、氧化应激标志物或炎症因子的水平变化所介导。

结果发现,健康检查前0-24小时的个体PM2.5暴露与6种表观遗传年龄存在显著关联。个体PM2.5暴露浓度每增加10μg/m3(0-24h),AA(Horvath)、AA(Hannum)、AA(GrimAge)、DunedinPoAm、MS和epiTOC的 z-评分变化量分别增加0.035、0.035、0.050、0.055、0.052和0.037个单位。24-48小时个体PM2.5暴露浓度与所有表观遗传年龄的关联较弱。其中PM2.5浓度每增加10μg/m3(24-48h),AA(GrimAge)、DunedinPoAm和MS的z-评分变化量仅分别增加0.030、0.048和0.033个单位(P<0.05)。

表1. 0-24小时和24-48小时个体PM2.5暴露水平与7种表观遗传年龄的相关性

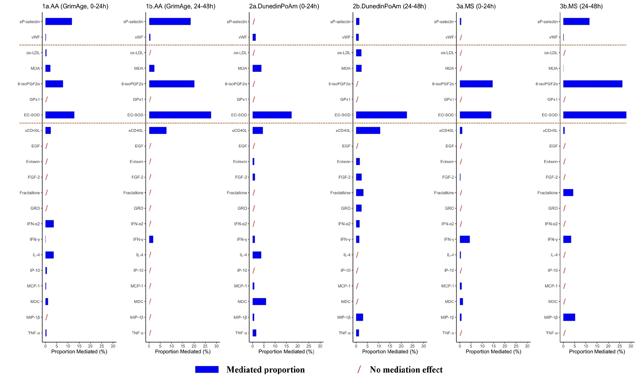
研究进一步发现个体PM2.5暴露与AA(GrimAge)、DunedinPoAm和MS变化之间的关联均主要通过细胞外超氧化物歧化酶(EC-SOD)的变化介导(介导比例为12.8% ~ 28.1%),部分通过可溶性CD40配体(sCD40L)的变化介导(介导比例为0.6% ~ 10.7%)。其他的生物标志物包括sP-selectin、8-isoPGF2α、MDC和MIP-1β等也可以介导部分效应(介导比例>5%)。

2. 凝血、氧化应激和系统性炎症途径的中介效应分布图

研究结果表明短期PM2.5暴露可通过凝血、氧化应激和系统性炎症途径加速DNA甲基化谱反映的衰老加速,提示仍需关注空气污染短期暴露的不良健康效应。

公共卫生学院吴少伟教授与首都医科大学公共卫生学院张玲教授为该文的共同通讯作者,北京大学公共卫生学院高旭、黄婧副研究员为该文的共同第一作者。研究得到国家重点研发计划(2017YFC0211601,2016YFC0900603,2016YFC0207103)、国家自然科学基金(82073509)、北京市自然科学基金(7192098)、环境毒理学北京市重点实验室开放课题和北京大学医学部科研启动经费(BMU2021YJ044)等项目的资助。


空气污染波动期间PM2.5暴露对健康人群血浆代谢组学的影响:一项随机对照试验

2022年8月环境科学领域权威期刊《Journal of Hazardous Materials(IF:14.2)在线发表了公共卫生学院吴少伟教授团队与合作团队研究成果,论文题为 “Impact of PM2.5 exposure on plasma metabolome in healthy adults during air pollution waves: A randomized, crossover trial ”( 空气污染波期间PM2.5暴露对健康成人血浆代谢组的影响:一项随机交叉试验,https://www.sciencedirect.com/science/article/pii/S0304389422009700)。

随着城镇化和工业化进程加快,我国空气污染形势严峻,其健康影响引起了广泛关注,其中室内外PM2.5污染威胁人群健康,与多种疾病的发生发展密切相关,但PM2.5引起不良健康效应的作用机制尚不清晰。相对于室外空气污染,室内空气污染较容易控制、人体暴露时间长、与人群健康密切相关,有效控制室内空气污染可以降低PM2.5暴露的健康风险。代谢组学可以反应环境暴露下人体的生理病理状态和机体功能改变,有助于阐明PM2.5暴露引起不良健康效应的潜在作用机制。

研究采用随机对照试验方法,招募了32名健康大学生,于2017年12月至2018年4月期间开展。研究期间每名研究对象都会接受真空气净化干预和去除空气净化器高效滤芯的假空气净化器干预两个阶段,每个阶段都覆盖了一次空气污染波动,空气污染波动定义为空气质量指数(AQI)从低于100升高到100以上且持续两天或更长时间。每个阶段进行三次随访:空气污染波动前(基线)、空气污染波动中(第一次随访)、空气污染波动后(第二次随访),每次随访对研究对象进行健康体检并收集空腹静脉血,干预期间对研究对象室内空气质量进行持续监测,根据研究对象填写的时间-活动日志匹配室内监测PM2.5浓度和室外PM2.5固定监测站数据,计算时间加权个体PM2.5浓度。

研究最终纳入来自24名研究对象的144份血液样本(每人6次随访),进行血浆非靶向代谢组学分析,使用人类代谢组数据库(HMDB)、METLIN、Chemspider等数据库鉴定代谢物。鉴定出的代谢物使用主成分分析(PCA)、正交偏最小二乘判别分析(OPLS-DA)、非参数Mann-Whitney U检验识别真空气净化器干预组和假空气净化器干预组的差异代谢物。对于筛选出的差异代谢物,使用线性混合效应模型探究代谢物与室外、室内、时间加权个体PM2.5暴露浓度之间的关联。此外,本研究还对筛选出的代谢物使用MetaboAnalyst 5.0软件进行了一系列代谢分析:使用京都基因与基因组百科全书(KEGG)、小分子通路数据库(SMPDB)、主要类别化学结构库(main-class chemical structures)进行代谢通路分析;使用KEGG网络分析识别核心代谢物;按照干预类型和干预时间对代谢物进行层次聚类以识别代谢物之间的关联;使用去偏稀疏偏相关(DSPC)分析以便在小样本量情况下探索大量代谢物之间的关联。

研究结果表明室内空气净化干预可有效降低室内PM2.5浓度水平和个体时间加权PM2.5浓度水平。真假空气净化干预组间共识别出了40种差异代谢物,其中14种、14种和18种代谢物分别与室外、室内、时间加权个体PM2.5浓度显著相关,其中11种代谢物与室外、室内、时间加权个体PM2.5之间呈现一致的显著关联,如表2所示。时间加权个体PM2.5浓度每升高一个四分位数间距(IQR):亚油酸代谢中9,10-DHOME升高约20%;溶血磷脂酸中LysoPA(21:0/0:0)和LysoPA(8:0/0:0))、色氨酸代谢中褪黑素和6-羟基褪黑素、氨基酸代谢中γ-谷氨酰异亮氨酸(gamma-Glutamylisoleucine)和γ-谷氨酰谷氨酸(gamma-Glutamylglutamic acid)、亚油酸代谢中9,12,13-TriHOME、能量代谢相关代谢物dUDP和辅酶Q1(ubiquinone-1)以及5'-甲基腺苷(5'-Methylthioadenosine)降低约20%-77%。

2. 室外、室内、时间加权个体PM2.5与血浆代谢组之间的关联(FDR<0.05)

真假空气净化干预组间差异代谢物根据KEGG和SMPDB数据库识别出了多条代谢通路,其中受影响最大的主要有亚油酸代谢(linoleic acid metabolism)、花生四烯酸代谢(arachidonic acid metabolism)、色氨酸代谢(tryptophan metabolism)及尿素循环(urea cycle)等,识别出的受影响的代谢通路如图3(A)(B)所示,y轴表示通路富集分析的p值负对数,x轴表示通路拓扑分析获得的通路在整体网络中的重要性,越受影响的通路颜色越红;使用KEGG网络分析识别出的核心代谢物如图3(C)所示。

3.(A)KEGG数据库富集代谢通路;(B)SMPDB数据库富集代谢通路;(C)KEGG代谢网络图

按照干预类型、干预时间等对识别出的空气净化器干预相关差异代谢物绘制的层次聚类热图如图4所示。图4(A)使用单个样本数据进行展示,图4(B)(C)使用每组的平均值进行展示。如图4(D)所示,三酰甘油(TG)和二酰甘油(DG)等脂质聚集在一起彼此呈显著正相关,而卵磷脂(PC)和溶血磷脂酸(lysoPA)等代谢物呈现显著负相关。

4.(A)按干预方法和干预时期分类差异代谢物表达热图;(B)按干预方法分类差异代谢物表达热图;(C)按干预时期分类差异代谢物表达热图;(D)代谢物相关性热图

DSPC网络图如图5所示,节点代表差异代谢物,连接线代表代谢物之间的相关性,红色线条代表正相关,蓝色线条代表负相关,连接线越粗代表代谢物之间的相关性越强。DSPC可以使用较少的样品发现大量代谢物之间的相关关系,可用于快速识别和聚类功能相关的代谢物。如本研究发现脂质三酰甘油和二酰甘油聚类在一起,不饱和脂肪酸聚类在一起。此外,代谢物越靠近中心,与其他代谢物的相关性越强,在代谢网络中的位置越重要,如本研究中的磷酸磷脂酰肌醇(PIP(16:0/22:4))。

5. DSPC网络图

研究以健康成年人作为研究对象,采用随机交叉设计,使用非靶向代谢组学方法,对真假空气净化器干预下代谢组学差异进行了较为广泛的探索,发现了亚油酸代谢中9,12,13-TriHOME与9,10-DHOME以及能量代谢相关的dUDP、辅酶Q1等与PM2.5暴露相关的代谢物;溶血磷脂酸、5'-甲基腺苷、色氨酸代谢中褪黑素、γ-谷氨酰异亮氨酸、γ-谷氨酰谷氨酸等代谢物也与PM2.5暴露有显著关联。研究结果提示PM2.5暴露会影响健康人群血浆代谢组学特征,短期PM2.5暴露可能会导致亚油酸代谢、花生四烯酸代谢、色氨酸代谢、尿素循环等代谢通路紊乱。本研究使用随机交叉研究设计,相对于动物或人群观察性研究,研究证据等级更高。研究发现一定程度上可表征空气PM2.5暴露在一般人群中产生的早期健康效应,可为深入探究PM2.5导致人体健康损害效应的作用机制提供有益线索。

公共卫生学院吴少伟教授与首都医科大学公共卫生学院孙志伟教授为本文的共同通讯作者,北京大学博士研究生王佳炜、黄婧副研究员及首都医科大学博士研究生林立森为本文的共同第一作者。研究得到国家重点研发计划(2017YFC0211601,2016YFC0207103)、国家自然科学基金(81502780, 91943301, 92043301)、北京大学“临床+X”青年学者项目和环境毒理学北京市重点实验室开放课题等项目的资助。



上一篇:公共卫生学院科研人员通过蛋白和糖蛋白组学为大骨节病软骨损伤机制和治疗靶点提供科学依据

下一篇:公共卫生学院研究人员在艾滋病暴露前预防用药研究方面取得新进展

    版权所有:西安交通大学医学部公共卫生学院 地址:陕西省西安市雁塔西路76号
邮编:710061 联系电话:029-82655101 029-82655135 Email:sph_xjtu@163.com
主站蜘蛛池模板: 盐边县| 上林县| 资溪县| 临颍县| 铜陵市| 济宁市| 阿图什市| 汕尾市| 彭阳县| 临澧县| 浮山县| 宿州市| 蒙自县| 铅山县| 泾阳县| 海伦市| 巴塘县| 永春县| 城固县| 揭西县| 安福县| 高雄县| 双鸭山市| 黄冈市| 广安市| 会宁县| 成武县| 宁陕县| 娄烦县| 潜山县| 普兰店市| 文山县| 裕民县| 苏尼特左旗| 休宁县| 砀山县| 镶黄旗| 樟树市| 迁安市| 高碑店市| 政和县|