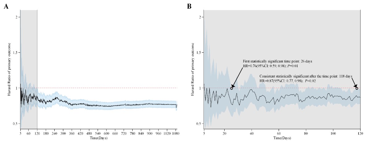
西安交通大学公共卫生学院李超副教授、英国约克大学陈涛教授联合安徽省立医院陈康玉副主任、广东省人民医院聂志强副主任开展了一项钠葡萄糖共转运蛋白2抑制剂(SGLT2)治疗心衰患者的效果评价研究结果提示,心衰患者应用SGLT2后,大约在用药26天时开始有获益,从约4个月起持续有明确获益。分析结果还显示,在指南推荐的药物治疗基础上,SGLT2可显著降低心衰加重或心血管死亡风险(HR=0.77)。

在每500例、200例、100例、50例使用SGLT2i的患者中,预防1例心衰加重或心血管死亡需要的平均时间分别为0.19个月、0.66个月、1.74个月、4.96个月。进一步分析显示,对于合并糖尿病的心衰患者或射血分数降低的心衰患者,通过使用SGLT2从减少心衰住院中获益的平均时间较短。

大多数心衰患者(预期寿命超过5个月)均能从SGLT2治疗中获益。该研究结果支持心衰患者早期启用SGLT2,尤其是合并糖尿病的心衰患者或射血分数降低的心衰患者。

最近,研究成果以《钠葡萄糖共转运蛋白2抑制剂治疗心衰患者的起效时间研究》(Time to Benefit of Sodium-Glucose Cotransporter-2 Inhibitors Among Patients With Heart Failure)为题在国际知名医学期刊《JAMA网络开放获取》(JAMA Network Open)在线发表。安徽省立医院陈康玉副主任和广东省人民医院聂志强副主任是本研究的共同第一作者,公共卫生学院李超副教授与英国约克大学陈涛教授是本研究的共同通讯作者。本研究受国家自然科学基金、中央高校基本科研业务费项目等基金支持。
全文链接:https://jamanetwork.com/journals/jamanetworkopen/fullarticle/2808738
个人介绍:
李超,主要从事慢性病(高血压与糖尿病)相关临床试验数据分析、慢性病临床干预策略评价建模(有效性及卫生经济)、高血压与糖尿病病因学探索等方向的临床研究与政策研究。主持包括国家自然科学基金优秀青年项目在内的国家级与省部级基金8项,目前以第一作者或通讯作者(含共同)发表SCI论文20余篇,包括JAMA Internal Medicine、PloS Medicine、BMC Medicine、JAMA Network Open、International Journal of Epidemiology等,一篇论文入选F1000推荐论文。担任BMJ、BMC Medicine、Pediatrics等期刊的临床研究与卫生经济学评价研究方向审稿人。
陈涛,主要从事心血管病干预策略的干预性研究设计与分析、卫生经济学评价与方法学方面的研究,开展了系列具有原创性的研究工作。代表性成果发表在JAMA Internal Medicine、Clinical Infectious Diseases、PLoS Medicine、JAMA Network Open、JACC-Heart Failure、BMC Medicine等国际权威期刊,为慢性疾病防控提供了重要依据。主持英国NIHR和美国NIH科学基金各一项,目前兼任BMC Medicine杂志编委,担任Annals of Internal Medicine、European Heart Journal、JACC、Nature Medicine、BMJ、JAMA Internal Medicine等10余家心血管疾病研究领域顶级期刊统计及卫生政策方向审稿人,现为英国皇家统计学会会员与International Society for Pharmacoeconomics and Outcomes Research会员。
李超和陈涛课题组期待与多学科研究领域的专家共同交流合作,为遏制我国慢性病增长势头、降低慢病疾病负担做出贡献。