越来越多的临床研究结果证实强化血压控制相比于常规血压控制策略能够显著降低心血管病(CVD)发病和死亡的风险,相关研究结果深远地影响了各国高血压防治指南的制定。为此,公共卫生学院李超副教授与利物浦大学陈涛教授及利物浦热带病医学院王多劳教授团队合作,针对强化血压控制策略对老年人群干预的起效时间、血压控制的适宜范围及在我国开展后的成本效果等问题开展研究,相关研究结果在JAMA Internal Medicine、BMC Medicine和PloS Medicine期刊发表。
一、在老年人群中开展强化血压控制干预将在一年内发现明显效果
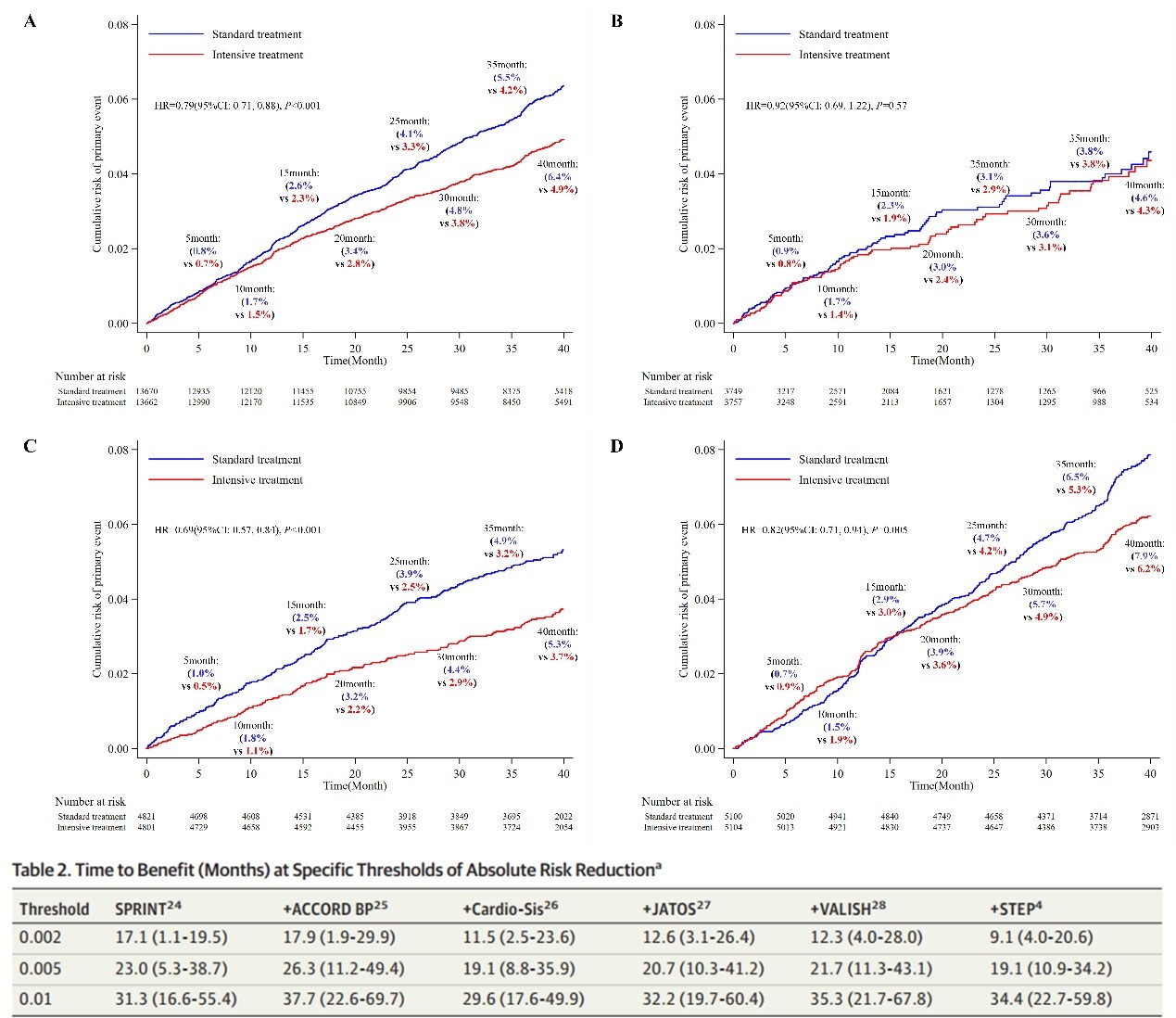
研究通过重构既往相关临床试验的原始数据(共计27414名老年受试对象)并采用Time to Benefit(TTB)指标评价强化血压控制组相比常规血压控制组达到指定差异阈值的时间。结果显示:1、严格血压控制策略的降压目标值为130 mm Hg和120 mm Hg时,相比常规血压控制策略能够显著降低老年人群(>60岁)主要心血管事件及死亡的发生风险;2、严格血压控制策略实施后,每千人中观察减少两例心血管事件及死亡发生(Threshold=0.002)的时间为9.1月。研究结果为指导老年人群强化血压干预的临床实践提供了重要的理论依据。

该研究成果以“Time to clinical benefit of intensive blood pressure lowering in patients 60 years and older with hypertension: a secondary analysis of randomized controlled trials”为题在JAMA Internal Medicine发表。利物浦大学陈涛教授为论文的第一作者,李超副教授与江苏省人民医院蒋志新教授为论文的共同通讯作者,西安交通大学医学部公共卫生学院是论文的第一通讯作者单位。
原文链接:https://jamanetwork.com/journals/jamainternalmedicine/fullarticle/2791680
二、CVD高风险合并糖尿病人群相比非糖尿病人群应采取更为严格的降压策略
按严格血压控制组的实际降压水平将该组受试对象分成收缩压<110 mm Hg、110-120 mm Hg、120-130 mm Hg、≥130 mm Hg;舒张压<60 mm Hg、60-70 mm Hg、70-80 mm Hg、≥80 mm Hg;共八个亚组,采用倾向性评分法为不同组的受试对象匹配信息相近的人群作为对照。结果显示:1、CVD高风险人群合并糖尿病的血压适宜目标为收缩压110-130 mm Hg,舒张压60-70 mm Hg;2、CVD高风险未合并糖尿病人群的血压适宜目标为收缩压110-120 mm Hg,舒张压60-70 mm Hg。该结果为不同人群严格血压策略降压目标范围的制定提供了重要参考。

该研究成果以“Clinical benefit of systolic blood pressure within the target range among patients with or without diabetes mellitus: a propensity score–matched analysis of two randomized clinical trials”为题在BMC Medicine发表。李超副教授为论文的第一作者,利物浦大学陈涛教授与利物浦热带病医学院王多劳教授为论文的通讯作者,西安交通大学医学部公共卫生学院是论文的第一作者单位。
原文链接:https://bmcmedicine.biomedcentral.com/articles/10.1186/s12916-022-02407-z
三、我国强化血压控制适宜人群规模庞大且极具应用前景
研究分析了我国强化血压干预适宜人群规模并评估药物干预强化血压控制策略的成本效果。结果显示:1、我国45岁以上人群中强化血压干预适宜人群的规模和比例为1.16亿人(22.2%)。按我国目前的高血压防治指南标准,其中7720万人未纳入目前高血压管理人群范畴,且2660万人未接受任何降压治疗;2、采用药物干预严格血压控制对比现行指南在未来5年内将减少203万心血管相关疾病死亡并使我国全人口增加384万寿命年;3、对强化血压干预适宜人群采取严格血压控制措施将是一项极具性价比的策略,支付意愿阈值低于2017年中国人群GDP的概率为82.8%。该结果对我国重点高风险人群血压防控策略的制定具有重要意义。

该研究成果以“Applicability and cost-effectiveness of the Systolic Blood Pressure Intervention Trial (SPRINT) in the Chinese population: A cost-effectiveness modeling study”为题在PloS Medicine发表。李超副教授与陈涛教授分别为论文的第一作者与通讯作者,西安交通大学医学部公共卫生学院是论文的第一作者与通讯作者单位。
原文链接:https://journals.plos.org/plosmedicine/article/authors?id=10.1371/journal.pmed.1003515
李超,西安交通大学公共卫生学院流行病与卫生统计学系,副教授。近年来主要在慢性病(高血压与糖尿病)相关临床试验数据分析、慢性病临床干预策略评价建模(有效性及卫生经济)、高血压与糖尿病病因学探索等方向开展了系统研究。目前以第一作者或通讯作者(含共同)发表SCI论文20余篇,包括JAMA Internal Medicine、PloS Medicine、BMC Medicine、JAMA Network Open、International Journal of Epidemiology、Frontiers in Cardiovascular Medicine、Journal of Nutrition等。李超课题组期待与慢性病临床试验及肿瘤相关干预评价研究领域的专家共同交流合作,为遏制我国慢性病增长势头、降低慢病疾病负担做出贡献。